[기계신문] 한국전기연구원(KERI)은 전기의료기기연구단 전기융합휴먼케어연구센터 소속 신기영 박사 연구팀이 진행하고 있는 ‘대사증후군 치료 및 관리를 위한 생체 신경 자극 기술’ 연구개발이 순항 중이라고 7일 밝혔다.
대사증후군은 비만, 고혈압, 높은 중성지방 등 여러 가지 대사 이상 상태가 동시에 나타나는 복합 증후군으로, 주로 나쁜 식습관과 운동 부족으로 인해 발생한다.
특히 세계보건기구(WHO)에 따르면, 전 세계 인구 8명 중 1명이 과체중으로 밝혀져 비만 치료제는 현재 가장 주목받고 있는 시장 중 하나다.
비만 치료제에는 약물 주사제나 의약품 등 다양한 종류가 있지만, 이러한 화학적 치료제는 장기간 복용할 경우 부작용 문제를 항상 고려해야 한다.
이에 KERI 신기영 박사팀은 두피를 통해 대뇌 피질을 전기적으로 자극하여 식욕을 억제하는 새로운 방식을 제시했다. 전기 자극 기술의 공식명은 ‘경두개 불규칙 신호 자극(tRNS, transcranial Random Noise Stimulation)’이다.
연구팀은 수년 간의 연구를 통해 tRNS 기술로 배외측전전두엽의 피질에 비침습적으로 전기 자극을 수행하면 식욕 억제를 유도할 수 있다는 가능성을 확인했다.
이러한 연구에는 3가지 핵심 기술이 필요하다. ▲원하는 특정 부위에 알맞은 전기 자극을 정확하게 줄 수 있는 기술 ▲전극이 머리카락 사이의 공간으로 잘 침투하여 두피와 접촉할 수 있는 전극 기술 ▲전기 자극이 목표 지점에 잘 전달되어 두뇌의 활성도에 변화를 유발하였는지 확인하는 모니터링 기술이다. 현재 신기영 박사팀이 모두 개발 중이다.
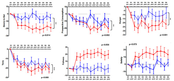
KERI는 tRNS 자극의 임상적 유용성을 선행적으로 증명하기 위해 상용 전기자극기를 이용하여 서울대병원 최형진 교수팀과 임상 시험을 진행했다. 이번 임상시험의 목표는 tRNS 자극이 식욕을 줄이는 데 효과적임을 증명하는 것이었다.
임상 대상은 tRNS를 받는 그룹 30명, 위약(가짜약) 그룹 30명으로, 총 60명의 여성 지원자를 대상으로 했다. 임상시험은 2주간 2~3일 간격으로 총 6회 전기 자극을 실시했다. 전기 자극은 1회당 20분씩 사람이 거의 느끼지 못할 수준인 2mA의 전류를 활용했다.
그 결과, tRNS 치료를 받은 그룹이 위약 그룹에 비해 식욕, 먹고자 하는 의향, 배고픔을 줄이는 데 효과적임을 확인했다. 또한 tRNS가 감정적 섭식을 치료하는 데도 도움이 된다는 것이 임상시험으로 증명됐다. 즉, 스트레스, 우울, 불안, 기쁨 등 감정을 처리하거나 완화하기 위해 음식을 먹는 경향이 크게 줄었다는 의미다.
임상이 2주만 진행되어 장기간 체중 감소까지는 확인하지 못했지만, 참가자들은 식욕 억제 효과가 컸다는 답변을 내놓았다.
신기영 박사는 “아직 완성된 기술이 아니라서 추가 연구와 검증이 더 필요하지만, 기존 비만 치료제보다 부작용이 훨씬 적은 전기 자극 치료 장비가 상용화되어 병원이 아닌 집에서도 사용 가능해진다면, 매일 식욕 억제 관리를 쉽고 간단하게 받을 수 있을 것”이라고 언급했다.
그러면서 “특히 힘들거나 스트레스를 받으면 많은 사람들이 감정적인 배고픔을 느껴 음식을 먹는데, 전기 자극 치료와 운동 치료를 병행하는 디지털 헬스케어 기술을 도입하면 더 큰 체중 감소 효과를 누리고, 건강 관리에도 많은 도움이 될 것”이라고 설명했다.
연구팀은 올해 중점추진과제 1단계(2022~2024년) 종료를 앞두고 있으며, 2단계 사업 등 후속 연구를 통해 개발 기술을 학술적·임상적으로 검증하고, 기업체 기술이전까지 추진한다는 목표다.
기계신문, 기계산업 뉴스채널

